En Física I aprendemos todo lo relacionado a la Física Clásica. En el nivel medio (escuela secundaria)
aprendemos sobre las Leyes de Newton, Movimiento Rectilineo Uniforme, Teorema de Bernoulli, entre otros
temas. Aquí profundizamos en ellos y en otros más. Aunque parezca irrelevante aclararlo, decimos que se
trata de la Física Clásica para diferenciarla de la Física Moderna en donde en esta última se tienen en
cuenta efectos relativistas.
A modo ilustrativo podemos ver un Esquema de Cuerpo Libre (ECL)
o Diagrama de Cuerpo Libre (DCL) de un problema típico de Fisica I.

Representación Asistida es una materia correlativa de Sistemas de Representación en Ingeniería. Para
hacerla corta, se trata de utilizar softwares para realizar dibujos técnicos. Los software utilizados
pueden ser (el famoso) AutoCAD y Solidworks, siendo este último el más utilizado por mi. Al principio
estas herramientas pueden resultar tediosas de aprender a usar pero lo valen porque existen geometrías
complejas de dibujar mediante el clásico tablero de dibujo y es allí donde estos programas nos
solucionan muchos problemas.
A continuación, se puede ver una vista en explosión típica de
un conjunto realizada en Solidworks.
A esta materia la considero como una de las fundamentales en la rama de la matemática dado que en ella
estudiamos contenido que lo vamos a estar aplicando (y que es el trasfondo) en muchas materias de los
años posteriores. El tema principal según mi punto de vista son las Ecuaciones
Diferenciales. Es normal en ingeniería escuchar hablar de que un problema del mundo real
sea modelado mediante una o varias de estas ecuaciones.
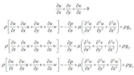
Un conjunto de ecuaciones icónicas de la
carrera (en Mecánica de los Fluidos) son las llamadas Ecuaciones de Navier-Stokes.

Esta materia está entre las más "divertidas" si se puede decir. En ella aprendemos sobre el intercambio
de energía en un sistema, involucrando fluidos o sólidos. Las palabras que se repiten todo el tiempo son
temperatura (obviamente), presión, volumen, calor y
trabajo.
Aquí se muestra un ejemplo típico sobre la aplicación de la termodinámica: el ciclo
Otto de un auto.
Probablemente esta sea la asignatura más rara de la carrera, o al menos lo parece durante el primer mes
de cursado. Tal como su nombre lo dice, en ella se estudian métodos para realizar el control
automático de sistemas. Estos sistemas pueden ser mecánicos, eléctricos, neumáticos, entre
otros.
Una herramienta típica que se usa casi todo el tiempo es el llamado diagrama de
bloques el cual es una representación simplificada sobre el sistema que se desea controlar.

Esta es una materia que representa un antes y un después en la carrera. Tiene mucho contenido y es
particularmente pesada en esta especialidad de ingeniería. Tal como se mostró anteriormente, las
ecuaciones de Navier-Stokes son las que gobiernan (o describen) el movimiento de una pequeña porción de
fluido. En nuestra especialidad, dicho fluido es el aire aunque las mismas leyes pueden aplicarse a
otros fluidos como por ejemplo al agua.
A continuación se muestra un dibujo de la capa
límite la cual es una pequeña porcion de flujo de aire que se forma en una superficie.
En esta asignatura estudiamos la base de la aerodinámica. Es una de las materias que todo/a alumno/a
quiere llegar y resulta ser aún más tediosa de lo que uno se imagina por la cantidad de matemática que
posee. Sin embargo, una vez estudiada uno logra entender por completo la razón de ser de la forma de las
aeronaves.
A continuación, en la imagen de abajo se muestra los famosos vórtices formados
por las puntas de las alas. Para explicarlo de forma simple es como un rulo de aire que se forma detrás
del ala.

Esta materia es aún más intensa que aerodinámica porque aquí aprendemos a analizar el comportamiento del
avión según su configuración aerodinámica. En esta instancia las herramientas computacionales son
fundamentales por la gran cantidad de cálculos involucrados.
En la siguiente imagen podemos observar
un avión volando a una velocidad V0 mientras que en el segundo esquema tenemos todas fuerzas que actuan
en el mismo con otros parámetros aerodinámicos de la nave.
<
Esta es la última materia de la rama de estructuras. En ella estudiamos la acción conjunta de la
deformación del avión y los efectos aerodinámicos. Resulta muy interesante saber cómo las estructuras
son diseñadas teniendo en cuenta una gran variedad de efectos externos.
En la imagen podemos observar
cuánto puede llegar a deformarse el ala de un avión de Boeing. Normalmente, uno no nota estas
deformaciones pero todas ellas son estudiadas al detalle.

En esta materia aprendemos sobre los diversos sistemas que posee un avión para operar con seguridad.
Entre ellos están el eléctrico, hidráulico, sistema de presurización y aire de cabina y más. Ante todo,
una aeronave debe ser segura por lo que siempre se tiene redundancia en los sistemas, esto significa que
hay más de una forma de que un elemento funcione.
A modo de ejemplo, podemos observar un esquema
simple sobre el sistema hidráulico de un avión. Se puede ver que existen 3 línas hidráulicas en lugar de
una. Esto es la aplicación del concepto de redundancia. En caso de que una falle por algún motivo, el
avión posee otras 2 líneas de respaldo.